Ahtasham Raza1, Kristina K. Wolf2, Mercedes Biven3, Tammy Stone2, Stephanie Kellum1, Edward LeCluyse2, Jessica LaRocca3, Raja Settivari1 and Shadia Catalano1
1Corteva Agriscience, Newark (DE); 3Corteva Agriscience, Indianapolis (IN); 2LifeNet Health, Durham (NC).
Introduction
Background
ECHA and EFSA published a guidance for TH disruptors in animals should be investigated for human relevance to enhance the safety measure of novel plant protection products.
Advancements in NAMs provides in vitro test systems to evaluate the catabolism rate of TH. It has the potential to prediction species differences response, gender disparity and population variability.

Adverse outcome pathway (AOP) of nuclear receptor agonist inducing thyroid perturbation. MIE (green) key events (blue) and associated events (grey) are the network of TH signaling that involves feedback interactions of the hypothalamic-pituitary-thyroid (HPT) axis, circulatory system, liver, and other tissues. Noyes et al. (2019).
Aims
The model was then used to evaluate TH perturbation (key and associated events) after assault of known nuclear receptor agonists.
Methods
Repeated 7-day exposure to Phenobarbital (PB, 100 and 500μM), Rifampicin (RIF,10μM), Pregnenolone 16α-carbonitrile (PCN, 20μM), Polychlorinated biphenyl 153 (PCB153, 30μM).
On Day 9 of culture, addition of labeled T4 (0.05 μM, and 0.1 μM rat and human respectively)
3 Human (2 Male,1 Female) and 1 Rat (SD, male).
LC-MS/MS analysis of T4, T4G, T4S, T3 (in media).
T4 Intrinsic clearance (CLint (in vitro) calculation (Richardson et al. (2014).
qRT-PCR for phase I and II enzymes.

Results
T4 Metabolism Rat vs Human
T4 metabolism in Rat and Human: T4G production in both species showed a constant increased of T4G over 24-hours. Significant higher rate of production was seen in rat (SD) compared to human. PCB153 and PCN exposure has further increased the production in rat over 24-hours. While in human only PCB153 exposure has increased T4G production (relative to DMSO control). T4S no peak was observed in both species. T3 production in both species was at a similar rate with a consistent increase over 24-hours. RIF exposure has increased the production in human after 24-hours (not seen in rat). T4 concentration in media decreases after exposure to PCB153 (11%), PCN (44%), and PB500 (75%) after 24-hours in rat. While in human, the decrease was noticed after exposure to PB500 (63.5%), RIF (75%) and PCB153 (64%). T4 clearance rate Intrinsic clearance (CLint (in vitro) of T4 in the rat model after PCB153 and PCN treatment was calculated at 4.2 and 1.9 µL/min/106 cells, respectively. While in human tri-cultures, Intrinsic clearance (CLint (in vitro) of T4 after PB and RIF was calculated at 1.2 and 1.4 µL/min/106 cells, respectively.
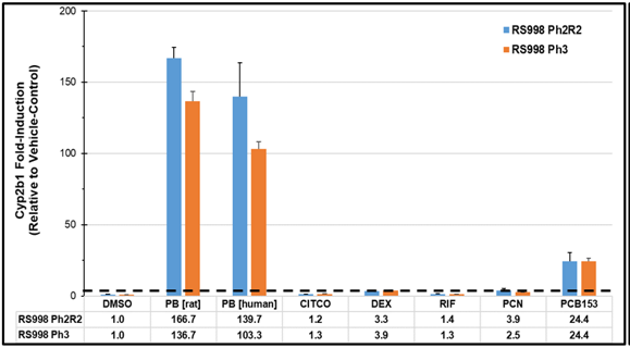
CYP mRNA Expression Rat vs Human
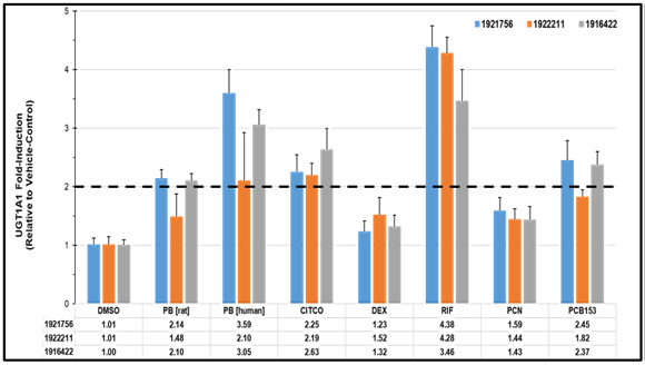
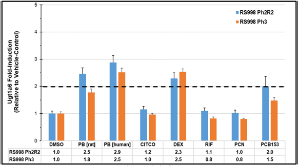
UGT mRNA Expression Rat vs Human
Conclusions
PCB153 MoA: Increased T4G production in both rat and human over 24-hours, T3 production was unaffected in both species. Higher T4 clearance rate in rat than in human over 24-hours. Cyp2B & 3A upregulated in both species. Ugt2B upregulated in rat.
PCN MoA: Increased T4G production in rat but not in human over 24-hours. T3 production slightly decreased in rat (not in human). Higher T4 clearance rate in rat (not in human). Cyp3A and Ugt2B1 expression upregulated in rat only (no Cyp/Ugt upregulation in human).
RIF MoA: No effect on T4G production in both species, but a significant T3 increase was noticed in human. Slightly higher T4 clearance rate was noticed in human only. Cyp2B/3A and Ugt1A1 genes upregulated in human only.

Summary
T4G production rate was increased over 24-hours in both species. The production rate was much higher in rat than in human.
T3S was not observed and requires further investigation.
Species difference in T4 clearance was observed with PCN (rat-sensitive), PCB153 (rat-sensitive) and RIF (human-sensitive).
PB, CITCO, DEX did not show any response in T4G. Though no changes in T4-clearance in either species, warranting further investigation and technical troubleshooting.
Consistent CYP and UGT gene expression data of known NR agonist among both human and rat species.
References
Noyes et al. (2019). Evaluating chemicals for thyroid disruption: Opportunities and challenges with in Vitro testing and adverse outcome pathway approaches. Envi Hea Persp, 127(9). Richardson et al. (2014). In vitro metabolism of thyroxine by rat and human hepatocytes. Xenobiotica, 44(5), 391–403.